忍者ブログ
[PR]
×

[PR]上記の広告は3ヶ月以上新規記事投稿のないブログに表示されています。新しい記事を書く事で広告が消えます。


2025/11/04 20:49 |
ゲームデザイン:ゲームデザインの原則 テンポが良すぎて困ることはない
最近買った「ASH」と「FFTA2」をやっていて感じたこと。あと、2chのスレやndsmk2のレビューを見ていて感じたこと。

 ゲームデザインの原則:ゲームのテンポが良すぎて困ることはない。ユーザにとっては。

たとえば、ASHはこの原則に反している。戦闘時のモーションはスキップできないし、全体攻撃魔法は、ユニット一人ひとりに対してダメージとエフェクトが順に表示される。

また、FFTA2でも、エンゲージ時の移動速度などの点でテンポの改善はできると思う。


事実かどうかは分からないけど、ゲームデザイナもしくはもっと上のレベルでのゲーム製作の観点からテンポを良くしようとしない理由が考えられる。テンポが良くなると、全体のプレイ時間数が減ってしまうのがその理由の一つにあるのではないかと思う。

もう一つは、テンポを良くするための方法がなんらかのモーションをスキップすることである場合、せっかくつくったモーションをスキップできるなんてもったいない、という理由。


最後に、もしかするとゲームプログラミングに関する技術的な理由によりテンポが悪くなってしまう可能性もある。


もし、ユーザの立場で見るならば、この原則を守るのは難しいことではないし、悩む点でもないと思う。また、クリエイティブな思考が必要なわけでもないと思う。
PR

2007/11/03 09:32 | Comments(0) | TrackBack() | ゲームデザイン
ゲームデザイン:ルーチンデザインとクリエイティブデザイン
これまでの記事で何度か、ゲームデザインという活動を意思決定の観点から考えてきました。意思決定とは、選択肢から選択することです。たとえば、RPGを作る場合、「戦闘に参加する最大人数は何人か」という項目に対して決定する必要があります。このように、ゲームデザインとは、多数ある項目において決定を行うような活動だと考えられます。

ゲームが満たす必要のある最も重要な品質は「面白さ」であるといえます。「面白さ」を低減さす要因としては、ゲームのテンポや操作性の悪さが考えられます。一方、「面白さ」を向上さす要因としては、従来のゲームには存在しないようなオリジナリティを導入することだと考えられます。

ゲームデザインの観点からみたとき、これら二つの要因は意思決定の異なる戦略が必要ではないかと主もいます。

(1)ルーチンデザイン:過去の経験の積み重ねなどからうまくいくことが分かっている基本となる項目に対する意思決定です。たとえば、ゲーム中のムービーの項目として「スキップできる」と「スキップできない」のどちらがユーザが望んでいるゲームでしょうか?

(2)クリエイティブデザイン:従来のゲームでは存在しなかったような項目を考え出す意思決定です。


売れるかどうかは無視するとして、「面白い」ゲームを作ることが目的なら、ルーチンデザインとクリエイティブデザインの違いを認識してゲームのデザインを行うことが重要であると考えられます。


ルーチンデザインの失敗の最近の事例:アルカイック シールド ヒート

先週発売されたDS用のソフト「アルカイック シールド ヒート(アッシュ)」を例に、ルーチンデザインをおろそかにした事例として考えたいと思います。

2chでは、地雷との発言も色々ありましたが、僕も実際にプレイした(クリアしてないけど30時間ほど)のでその体験をもとにして書きます。

アッシュは、シミュレーションRPGに分類されるゲームですが、色々と新奇性は感じられます。アッシュでは、一ユニット同士が戦うのではなく、1~3人からなるチームを一つのユニットとして敵チームと戦います。ただし、ユニットの移動は、ユニットごとに行います。

また、戦闘にも特徴があり、従来のRPGのような戦闘です。各チームのユニットが一度攻撃したら戦闘フェーズが終わりというわけではなく、従来のRPGのような条件(相手が逃げる、相手を全滅させる)で戦闘が終わります。

他にも特徴はありますが、詳しくは他のサイトなどを参考にしてきださい。


さて、アッシュの悪い点としてよく上げられるのは「操作性」と「戦闘のテンポ」の二つです。体系的に調査したわけではないですが、2chのスレdsmk2のレビューamazonのレビューを読んで感じた点です。

「操作性」に関しては、アッシュでは、ほとんどの操作をタッチペンだけで行わなければならない点です。個人的には、慣れればそうでもないのですが、あえてタッチペンだけの操作にした意図が「操作性を良くする」という目的ではない点が良くないと思います。

さて「戦闘のテンポ」がルーチンデザインの失敗の具体的な事例となります。アッシュでは「戦闘のテンポ」が悪いです。理由は、戦闘エフェクトやモーションをスキップできないことです。特にアッシュでは、敵のフェーズで味方チームに攻撃が加えられた場合、一方的に攻撃されるだけという謎仕様になっています。こちらからは何も反撃できないのに、敵の攻撃モーションを見せ続けられます。

また、アッシュでは全体攻撃の魔法やスキルがあるのですが、いっきに敵全体に攻撃してダメージが表示されるのではなく、敵一体ごとに攻撃し、ダメージが表示されるというテンポの悪さになっています。

このような「戦闘テンポ」では、ユーザからの批判があることはすぐに分かったはずです。意思決定に悩む項目でないはずです。「戦闘エフェクトのスキップ」の「有」「無」は、ルーチンデザインとして適切に処理されなければならない項目のはずです。

2007/10/14 13:55 | Comments(0) | TrackBack() | ゲームデザイン
ゲームデザイン:ゲームデザイン本
この blog ではゲームデザインのことを色々語ろうとしているわけだけど、僕自身はそんなにゲームデザインの本を読んで勉強してない気がする。

読んだ(読んでる途中な)のはラフ・コスターの「「おもしろい」のゲームデザイン―楽しいゲームを作る理論」と、Katie Salen と Eric Zimmerman らが編集した「The Game Design Reader: A Rules of Play Anthology 」ぐらい。

さて、google で「ゲームデザイン」で検索すると、結構上位に出てくる「ゲームのしくみ研究委員会」を今見ていたのだけど、このコンテンツの一つに「コスティキャンの「ゲーム論」へのいざない」というのがある。で、そのページでは、当時(パソコン通信の時代)のゲームデザインの資料として日本人が書いたものが二つ紹介されている。

・一つは、多摩豊さんの「コンピュータ・ゲームデザイン教本
・もう一つは、田尻智さんの「新ゲームデザイン

ってことで、僕は読んだことないし、読んでみようかな、と思ったのであった。



2007/10/11 21:06 | Comments(0) | TrackBack() | ゲームデザイン
ゲームデザイン:不思議のダンジョンのゲームデザインをフィーチャダイアグラムで表現

今週号のファミ通(10/19)に「チョコボの不思議なダンジョン 時忘れの迷宮」の新着情報が載ってた。気になる内容の一つに、今回(から?)は、ダンジョン内のトラップには、マイナス効果のトラップだけでなく、プラス効果のトラップもあるらしいという点。

今回の記事では、この仕様の変化を、前回の記事で紹介したフィーチャダイアグラムを使って表してみよう。


やろうとしているのは、ゲームのデザインを、フィーチャダイアグラムを使って表してみようというもの。この記事では、ゲームのデザインは、ある項目における選択肢から選択された結果だと考えている。たとえば、不思議のダンジョン風のゲームを作ろうとした場合、ダンジョン内にトラップが「出現する」か「出現しない」のかという選択肢があり、ゲームデザイナーはどちらかを選ばないといけない。どちらを選んだかで、異なるゲームが生まれると考えられる。具体例としては、トラップが出現しない不思議のダンジョン風のゲームとしては最近では「ローグ ハーツ ダンジョン」がある。

トラップの例は、あるゲームデザインが異なるのは、異なる選択肢が選ばれたから、というのを表したけど、一方で、不思議のダンジョン風のゲームを作ろうとした場合、共通となってしまう要素もある。たとえば、プレイヤーが操作するキャラクターは、体力というステータスを持っていることは暗黙的に決められていることだと思う。

フィーチャダイアグラムは、このようなあるコンセプト(例では不思議のダンジョン)の共通部分(共通性)と異なる部分(可変性)をグラフィカルに表現する記法の一つ。

fusigi_fd.PNG


























さて、では、不思議のダンジョン風のゲームのトラップの側面に着目して、フィーチャダイアグラムを書いてみよう。一つはダンジョン内に出現するトラップはマイナスの効果しかない、という従来の不思議のダンジョンでのゲームデザイン。もう一つは、「時忘れの迷宮」で新たに変更があったトラップにはマイナス効果とプラス効果があるというゲームデザイン。

fusigi_trap_fd.PNG












このフィーチャダイアグラムからは、次のことが分かります。

(1)不思議のダンジョン風のゲームには、トラップがある場合とない場合がある。

(2)トラップがある場合には、様々な異なる効果を持つトラップが複数あり、それらのいくつかがダンジョン内に出現する。

(3)トラップがある場合には、ダンジョン内にどんな種類のトラップが出現するのかを決めることで、異なるゲームデザインとなる。




次に、上のフィーチャダイアグラムを変更して、マイナス効果とプラス効果のトラップが出現するというゲームデザインも表せるようにしたフィーチャダイアグラム。

fusigi_trap_fd2.PNG


















このフィーチャダイアグラムからは、次のことが分かります。

(1)不思議のダンジョン風のゲームには、トラップがある場合とない場合がある。

(2)トラップがある場合には、プラス効果とマイナス効果のトラップがある。

(3)トラップがある場合には、様々な異なる効果を持つトラップが複数あり、それらのいくつかがダンジョン内に出現する。

(4)トラップがある場合には、ダンジョン内にどんな種類のトラップが出現するのかを決めることで、異なるゲームデザインとなる。


考察:

ゲームのデザインを、フィーチャダイアグラムを使って明示的に表現することの利点は以下の点です。

(1)ゲームデザインとしてどの部分が共通でどの部分が可変なのかが明確になる。それにより、可変部分に関して、どのような違いを持たせるのかに重点を置ける。たとえば、トラップの例を見てみると、トラップの種類の部分は不思議のダンジョン風のゲームで違いを生む箇所であることが分かる。今までになかったようなトラップを考え出せば、異なる新規性の感じられるゲームデザインになることが明確になる。

(2)可変部分に着目することで、今まで考えていなかったようなゲームデザインの側面に着目できる。たとえば、トラップの例を見てみると、プラス効果のトラップしか出現しないようなダンジョンも考えられる。




2007/10/09 14:04 | Comments(0) | TrackBack() | ゲームデザイン
ゲームデザイン:フィーチャダイアグラム入門
過去の記事で何度か、ゲームのデザインというものを、選択肢の観点から考えられるということを言ってきました。たとえばRPGを例とすると、ゲームデザイナーは、キャラクターの成長という項目に関して何らかの選択を行う必要があります。選択肢には、ドラクエなどの「レベルアップによる成長」やロマサガなどの「戦闘結果による成長」があります。ゲームデザインというのは、このような多数の項目から、選択することであるとしました。

game_design.PNG






図では、選択の必要な項目を単に一覧として表しているだけでした。しかし、このような一覧だけでは、不十分な場合があります。

ソフトウェア工学の分野、特にソフトウェアプロダクトラインと呼ばれる分野で考案されている図式表現がここで役立ちます。プロダクトラインは、ソフトウェアシステムをフィーチャの観点から考えます。フィーチャとは、ユーザに見える機能のことです。個々のユーザにとってシステムに要求する機能というのは異なります。これは、PCを購入するときに、購入者によって必要なパーツやパーツの要求が異なるのと同じです。あるユーザは、ビデオキャプチャが欲しいかもしれませんし、またユーザにとって必要なメモリ容量というのは異なります。

ソフトウェアプロダクトラインでは、このような多様性(可変性)を扱います。個々のユーザにとって最適な機能から成るソフトウェアシステムを提供できるようにすることが目的です。そのために必要なこととして、可変性、つまり、どのようなフィーチャがあるのかを分析し、その分析結果を表現できる必要があります。フィーチャダイアグラムはフィーチャからみたソフトウェアシステムの可変性を表現するためのものです。

フィーチャダイアグラムは、フィーチャを表現するものですが、ゲームのデザインを表現するのにも使えると考えられます。
fd_eg.PNG



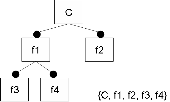
この図は、さきほどの一覧表現をフィーチャダイアグラムで表現しなおした例です。

図の四角は「項目」か「個々の選択肢」を表します。

四角間の関係には、4つあります。
(1)必須フィーチャ
(2)オプショナルフィーチャ
(3)オルタナティブフィーチャ
(4)ORフィーチャ 


まずは、必須フィーチャです。必ず選択しなければならないフィーチャです。

fd_mandatory.PNG







次にオプショナルフィーチャ。選んでも選ばなくても良いフィーチャです。

fd_optional.PNG 







次にオルタナティブフィーチャ。どれか一つだけを必ず選択しなければなりません。

fd_alternative.PNG



最後に、ORフィーチャ。一つ以上を必ず選択する必要があります。

fd_or.PNG







このようにフィーチャダイアグラムを使うと単に項目を一覧表示するよりも、項目間の関係が明確になるためゲームデザインを分かりやすく表現できると考えられます。

今後はもっとゲームデザインへのフィーチャダイアグラムの適用について考えて行きたいと思います。

参考:

Generative Programming: Methods, Tools, and Applications

2007/09/30 17:57 | Comments(0) | TrackBack() | ゲームデザイン

<<前のページ | HOME | 次のページ>>
忍者ブログ[PR]